灭蚊灯作为新型灭蚊产品,以其物理性灭蚊原理广受关注,当前市面上销售的灭蚊灯品类繁多且价格参差不齐,对于这类产品的功效也褒贬不一,甚至有消费者质疑其是“智商税”。为了解市面上销售的灭蚊灯质量优劣情况,为消费者提供科学合理的消费指引,助力品质消费,福建省消费者委员会日前根据《消费者权益保护法》《福建省实施<消法>办法》及《全国消协组织比较试验工作规范(试行)》的相关规定,回应消费者对灭蚊产品的高需求关切,开展灭蚊灯比较试验并于10月21日公布此次比较试验结果。

灭蚊灯样品。福建省消委会供图
安全性方面:2款样品的结构不符合标准要求
安全性能方面,主要检测灭蚊灯是否存在漏电触电、结构不完善等安全隐患。在此次比较的15款样品中,13款样品均符合国家相关标准要求,2款样品的结构不符合标准要求。
试验结果显示,在对触及带电部件的防护测试中,15款灭蚊灯的对触及带电部件的防护均符合国家相关标准要求;在对泄漏电流和电气强度的测试中,15款灭蚊灯均通过安全测试;在结构的测试中,15款灭蚊灯样品中,除标称品牌为楚婕雅和志高(CHIGO)的样品外,其余13款样品的结构均符合国家标准要求,具备足够的结构强度和稳定性,表现优秀。
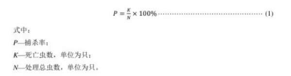
灭蚊效果:蚊虫捕杀率均较低
灭蚊灯是一种使用物理手段灭蚊的产品,其充分利用蚊子对光的敏感和对人体气息(仿生)的感应,在灭蚊灯上安置光源和仿生装置,诱惑蚊子飞进灭蚊灯,之后通过灭蚊灯里内置的电网电死蚊子,或利用涡轮风扇高速转动让蚊子脱水而死。
目前,市面上销售的灭蚊灯品类和功能繁多,但消费者其实际灭蚊效果却贬褒不一。为此,福建省消委会委托实验室参考相关标准,对15款灭蚊灯样品进行了灭蚊效果(蚊虫捕杀率)的研究性测试,结果仅供消费者参考。
为模拟测试消费者在实际生活环境下灭蚊灯的真实灭蚊效果,本次灭蚊试验参考团体标准T/CSA073-2021《室内紫外LED诱蚊灯性能要求》中的测试方法,但对测试场景有所改变,具体情况如下:在容积33立方米(长宽高3.7米×3.3米×2.7米)的房间(配有床、床头柜、衣柜、空调、窗户及窗帘)中,将灭蚊灯样品置于测试房中央、光源离地1.5米处,关闭门窗及窗帘,将100只左右的蚊虫放入房间内,1小时后接通被测装置电源,接通电源24小时后关闭电源,检查死亡的蚊虫数,试验进行一次,每场测试均设空白对照组。试验结束后,计算各灭蚊灯样品的蚊虫捕杀率,其计算公式如下:


测试结果显示,15款样品在真实生活场景中对蚊虫均具有一定的捕杀效果,但蚊虫捕杀率较低,测试结果均与企业的宣传效果(图2)差距显著,详见表1。

另外,试验人员又更换了试验环境,对其中3款样品进行了灭蚊效果的探究:下午17时,将3款灭蚊灯同时置于室外空旷且蚊虫较多的场所(无人员走动、无外源性光源干扰),光源离地23厘米,并且为减小光源之间的影响,灭蚊灯之间均间距4.5米,接通电源,次日上午10时关闭电源并检查死亡蚊虫数。结果显示,3款灭蚊灯样品确实具有灭蚊效果,但并未达到通过光源吸引周边蚊虫而大量灭杀的效果,详见表2。

总体来看,本次比较的15款灭蚊灯样品实际灭蚊效果均不显著。
噪音主观性测评:均在可接受范围内
选择灭蚊灯除了要考虑其灭蚊效果,还应考虑其产生的噪音。灭蚊灯的噪音主要来源于其内置的涡轮风扇,一个是扇叶高速转动产生的声音,一个是内置的电机运行时产生的声音。因此,福建省消委会组织志愿者对15款灭蚊灯样品进行了噪音主观性测评,结果仅供消费者参考。
结果显示,15款样品的噪音均在可接受范围内,不会影响人的正常休息,人体均无较强的不适感。
标签标识:部分样品的标签标识存在信息缺失
此次选购的15款样品中,有3款样品的包装或灯身上并无品牌及产品相关信息的标签标识,产品信息缺失;2款样品包装贴签上的产品名称与其产品标签上的名称不一致;其余10款样品包装及样品上的标签标识信息完整,均符合国家标准(GB4706.1-2005《家用和类似用途电器的安全第1部分:通用要求》)的相关要求,详见表3。

福建省消委会表示,此次比较试验结果仅对所测试样品负责,不代表同品牌不同批次、不同规格产品的质量状况,不作为判定产品合格与否的依据。任何单位和个人未经许可不得将此次比较试验结果用作宣传或摘取片面内容、应用结果、结论进行宣传。


消费提示:
选灭蚊灯六注意
福建省消委会提醒广大消费者,在选购灭蚊灯类产品时应注意以下六个方面:
一是看包装。购买时,注意观察产品的标签,灭蚊灯产品应当具有中文标签,且标签上品牌、名称、生产日期、产品合格证、执行标准号等内容均应标注清晰。
二是看品牌和口碑。选择知名品牌、好口碑且售后服务优质的产品,可以保证产品的质量和使用体验,另外本次比较试验结果也表明了灭蚊灯类产品对灭蚊具有一定效果,但实际情况可能无法达到商家所宣传的效果。
三是看材质。灭蚊灯材质的优劣影响产品的安全和耐用性,目前市场上质量好的灭蚊灯一般采用优质全新的AB材料(即丙烯腈丁二烯)制造,其优点是具有抗菌、阻燃的作用,而且产品质地密度大、硬度高,非常坚固耐用;而廉价的灭蚊灯往往采用二次回收的废旧塑料制造,产品气味大、容易断裂,在灯管的照射下更容易释放有害物质。
四是看功率。灭蚊灯的功率越高,捕蚊面积越大,捕蚊效果更好。选择时需考虑房间大小、家庭成员数量等因素,以确定适合的功率和捕蚊面积。
五是安全性能。购买灭蚊灯时需要注意安全性能,产品是否符合国家标准、是否有安全认证、是否易发生短路等情况;另外,电击型灭蚊灯的电网要尤其注意安全性,要选择有防误碰设计的产品,避免小孩好奇把手指伸进去。
六是使用方便。优先选择操作简单、易清洗、易维护的产品,便于日常使用和维护。
